Por: Alejandro Lelo de Larrea
El que fuera vocero de Marcelo Ebrard Casaubon y actualmente es titular de la Coordinación de Comunicación Social de la Cámara de Diputados, Óscar Manuel Argüelles Dorantes, autorizó el 3 de septiembre de 2012 la adquisición de publicidad a un sobreprecio que en suma pudo alcanzar 2 millones 729 mil 632.72 pesos.
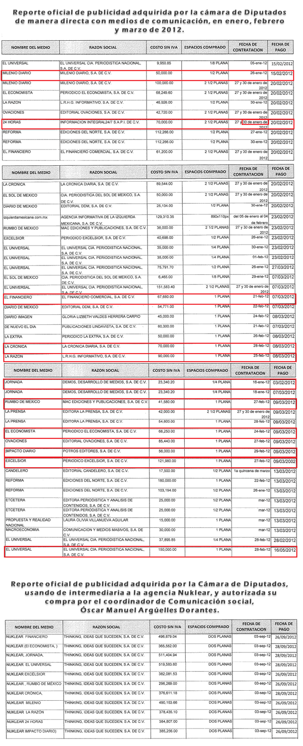
Lo anterior, de acuerdo con información de la propia Cámara de Diputados, según su reporte oficial de órdenes de inserción de 2012, en el que se evidencia que la publicidad contratada a diversos medios de comunicación impresos en septiembre de dicho año, al inicio de la actual 62 Legislatura, fue adquirida con un sobreprecio que en promedio alcanza el 167.11%, respecto de publicidad equiparable contratada en los mismos medios, apenas en febrero y marzo, también con tarifas 2012.
Esta publicidad fue adquirida por la Cámara de Diputados a través de la agencia Nuklear, cuya razón social es “Thinking, Ideas que Suceden S. A. de C. V».
En todas las órdenes de inserción de la publicidad adquirida a sobreprecio el 3 de septiembre de 2012 destaca el nombre y firma de autorización de “Óscar Manuel Argüelles Dorantes”. Encima de su nombre aparece la leyenda “Autorizó”, y debajo de su nombre el cargo: “Coordinación de Comunicación Social”.
En las órdenes de inserción que signó Argüelles Dorantes, debajo de su nombre, también aparece el de quien fuera su antecesor en la Coordinación de Comunicación Social, Juan María Naveja de Anda. Todas las órdenes de inserción van “A la atención de Ramsés Ramírez”.
En las mismas órdenes de inserción aparece como quien “Elaboró” la misma, el nombre de “María Eugenia Ramírez Gutiérrez”, y debajo de su nombre dice “Subdirección de Publicidad”. El “Vo. Bo.” de la orden de inserción lo signa “C.P. Gustavo Jiménez Ruiz”, y debajo de su nombre dice: “Dirección Administrativa”.
Oficialmente, el 1 de septiembre de 2012, Óscar Argüelles fue nombrado titular de la Coordinación de Comunicación Social, y aquí puede consultarse el documento de la Dirección General de Recursos Humanos, signado por el director del área, “Licenciado Jorge Alberto Valencia Sandoval”. (Bajar oficio en PDF del nombramiento )
Ese reportero buscó el pasado jueves 20 de marzo al propio Argüelles Dorantes para solicitarle su versión al respecto, pero éste declinó hacer comentario alguno, vía telefónica, a través de su secretaria particular, Rosalba Rodríguez.
Sin embargo, al día siguiente, por interpósita persona, se recibió una angelical llamada de intimidación, en la que se me advertía: “Dile a Alejandro Lelo que si publica algo de Raúl Márquez (el subdirector de Difusión, subordinado de Óscar Argüelles), lo va a demandar”. Ese intento de intimidación fue mencionado por la cuenta de Twitter de este medio de comunicación (@mensajepolitico), el mismo viernes 21.

Las 11 inserciones
En total fueron 11 las inserciones que se adquirieron, todas con fecha el 3 de septiembre, en las que se observa un estratosférico incremento en la tarifa que autorizó pagar el titular de Comunicación Social, Óscar Argüelles Dorantes, como se describe a continuación, caso por caso:
1.—El 21 de febrero de 2012, la Cámara de Diputados le compró a El Financiero, de manera directa, 1 plana de publicidad, por la cual pagaron 67 mil 680 pesos. De haber comprado 2 planas, la tarifa habría sido un total de 135 mil 360 pesos. Pero el 3 de septiembre, a través de la agencia Nuklear, la Cámara de Diputados adquirió 2 planas en el mismo diario por las cuales pagó 496 mil 879.04 pesos. Es decir, 361 mil 519.04 pesos más que respecto la tarifa de febrero. Pasaron sólo 7 meses, dentro del mismo año 2012, y Argüelles autorizó un pago 267.08% superior.
2.—El 24 de febrero de 2012, la Cámara de Diputados le compró a El Economista, de manera directa, 1 plana por 68 mil 250 pesos. De haber comprado 2 planas, habría pagado 136 mil 500 pesos. Pero el 3 de septiembre del mismo año, vía la agencia Nuklear, la Cámara de Diputados compró 2 planas en el mismo diario, por las cuales pagó 365 mil 552 pesos. Es decir, 229 mil 052 pesos más que respecto la tarifa de febrero. Pasaron sólo 7 meses, dentro del mismo año 2012, y Argüelles autorizó un pago 167.80% superior.
3.—El 16 de enero de 2012, la Cámara de Diputados le compró a La Jornada, de manera directa, ¼ de plana, por 23 mil 340 pesos. De haber comprado 2 planas, le habría pagado 186 mil 720 pesos. Sin embargo, el 3 de septiembre del mismo año, vía la agencia Nuklear, la Cámara de Diputados adquirió 2 planas en el mismo diario, por las cuales pagó 511 mil 404.94. Es decir, 324 mil 684.94 pesos más que respecto la tarifa de febrero. Pasaron sólo 7 meses, dentro del mismo año 2012, y Argüelles autorizó un pago 173.89% superior.
4.—El 28 de febrero de 2012, la Cámara de Diputados le compró a El Universal, de manera directa, 1 plana por 150 mil pesos. De haber adquirido 2 planas, habría pagado 300 mil pesos. Pero el 3 de septiembre del mismo año, vía la agencia Nuklear, la Cámara de Diputados compró 2 planas en el mismo diario por las cuales pagó 519 mil 583.60 pesos. Es decir, 219 mil 583.60 pesos más que respecto la tarifa de febrero. Pasaron sólo 7 meses, dentro del mismo año 2012, y Argüelles autorizó un pago 73.19% superior. (Bajar oficio de la orden de inserción en PDF )
5.—El 27 de febrero de 2012, la Cámara de Diputados le compró a Excélsior, de manera directa, 1 plana por 121 mil 980 pesos. De haber adquirido 2 planas, habría pagado 243 mil 960 pesos. Pero el 3 de septiembre del mismo año, vía la agencia Nuklear, la Cámara de Diputados adquirió 2 planas en el mismo diario, por las cuales pagó 382 mil 081.53 pesos. Es decir, 138 mil 121.53 pesos más que respecto la tarifa de febrero. Pasaron sólo 7 meses, dentro del mismo año 2012 y Argüelles autorizó un pago 56.62% superior. (Bajar oficio de la orden de inserción en PDF )
6.—El 9 de marzo de 2012, la Cámara de Diputados le compró a Rumbo de México, de manera directa, 1 plana, por 41 mil 580 pesos. De haber comprado 2 planas habría pagado 83 mil 160 pesos. Pero el 3 de septiembre del mismo año, vía la agencia Nuklear, la Cámara de Diputados compró 2 planas en el mismo diario, por las cuales pagó 296 mil 269 pesos. Es decir, 213 mil 109 pesos más que respecto la tarifa de febrero. Pasaron sólo 6 meses, dentro del mismo año 2012, y Argüelles autorizó un pago 256.26% superior.
7.—El 28 de febrero de 2012, la Cámara de Diputados le compró a La Crónica, de manera directa, 1 plana, por 70 mil pesos. De haber comprado 2 planas, habría pagado 140 mil pesos. Sin embargo, el 3 de septiembre del mismo año, vía la agencia Nuklear, la Cámara de Diputados adquirió 2 planas en el mismo diario, por las cuales pagó 376 mil 611.18 pesos. Es decir, 236 mil 611 .18 pesos más que respecto la tarifa de febrero. Pasaron sólo 7 meses, dentro del mismo año 2012, y Argüelles autorizó un pago 169.01% superior.
8.—El 26 de enero de 2012, la Cámara de Diputados le compró a Milenio Diario, de manera directa, ½ plana, por 50 mil pesos. De haber comprado 2 planas, habría pagado 200 mil pesos. Pero el 3 de septiembre del mismo año, vía la agencia Nuklear, la Cámara de Diputados adquirió 2 planas en el mismo diario, por las cuales pagó 490 mil 452.33 pesos. Es decir, 290 mil 453 .33 pesos más que respecto la tarifa de enero. Pasaron sólo 7 meses, dentro del mismo año 2012, y Argüelles autorizó un pago 145.23% superior. (Bajar oficio de la orden de inserción en PDF )
9.—El 25 de febrero de 2012, la Cámara de Diputados le compró a La Razón, de manera directa, 1 plana, por 90 mil pesos. De haber comprado 2 planas, habría pagado 180 mil pesos. Sin embargo, el 3 de septiembre del mismo año, vía la agencia Nuklear, la Cámara de Diputados adquirió 2 planas en el mismo diario, por las cuales pagó 378 mil 435.10 pesos. Es decir, 198 mil 435.10 pesos más que respecto la tarifa de febrero. Pasaron sólo 7 meses, dentro del mismo año 2012, y Argüelles autorizó un pago 110.24% superior.
10.—El 30 de enero de 2012, la Cámara de Diputados le compró a 24 Horas, de manera directa, ½ plana, por 35 mil pesos. De haber comprado 2 planas, habría pagado 140 mil pesos. Pero el 3 de septiembre del mismo año, vía la agencia Nuklear, la Cámara de Diputados compró 2 planas en el mismo diario, por las cuales pagó 384 mil 807 pesos. Es decir, 244 mil 807 pesos más que respecto la tarifa de enero. Pasaron sólo 7 meses, dentro del mismo año 2012, y Argüelles autorizó un pago 174.86% superior. (Bajar oficio de la orden de inserción en PDF )
11.—El 29 de febrero de 2012, la Cámara de Diputados le compró a Impacto Diario, de manera directa, 1 plana por 56 mil pesos. De haber comprado 2 planas habría pagado 112 mil pesos. Pero el 3 de septiembre del mismo año, vía la agencia Nuklear, la Cámara de Diputados compró 2 planas en el mismo diario, por las cuales pagó 385 mil 256 pesos. Es decir, 273 mil 256 pesos más que respecto la tarifa de febrero. Pasaron sólo 7 meses, dentro del mismo año 2012, y Argüelles autorizó un pago 243.98% superior.
Así, ahora que está tanto de moda el tema del “moche”, en particular en la Cámara de Diputados, hay una interrogante que el contralor interno del órgano legislativo, Alfredo Wong, bien podría investigar e informar al ciudadano. ¿En este caso tal fue el motivo del sobreprecio? Es pregunta que espera una pronta respuesta.



