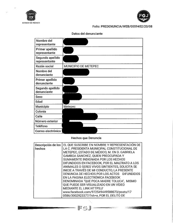
El gobierno de Metepec reprobó el comportamiento de un masculino al maltratar un perro a quien va arrastrando sin ninguna consideración, por lo que indagará el asunto para, en caso de identificar a la persona, será reportada ante las instancias conducentes y aplicar la sanción administrativa correspondiente.
De acuerdo a las autoridades municipales, la persona que se muestra en el video, no tiene ninguna relación laboral en la presente administración municipal de Metepec, como se ha tratado de vincular en comentarios y publicación de las redes sociales que denunciaron el hecho.
Luego de que se viralizara en diversas plataformas el maltrato del perro atado y arrastrado por dicha persona adulta, presumible en un camino rural de Metepec, las autoridades municipales reiteran que ya se investiga el suceso.
Cabe destacar que la alcaldesa Gaby Gamboa Sánchez, propuso la semana pasada ante el Cabildo, modificar el Bando Municipal para garantizar la protección de los animales, entre ellos los de compañía y de calle, situación que en breve se dará cauce.

